Figure 6 and 7#
using OrdinaryDiffEq
using SteadyStateDiffEq
using ModelingToolkit
using MitochondrialDynamics
using MitochondrialDynamics: second, μM, mV, mM, Hz, minute
import PythonPlot as plt
plt.matplotlib.rcParams["font.size"] = 14
14
glc = 4.0:0.5:30.0
@named sys = make_model()
prob = SteadyStateProblem(sys, [])
SteadyStateProblem with uType Vector{Float64}. In-place: true
u0: 9-element Vector{Float64}:
0.06
0.24
0.9
0.0087
0.0029
0.092
0.0002
0.001
0.057
Change parameters
@unpack Glc, rETC, rHL, rF1, rPDH = sys
\[\begin{split} \begin{align}
\frac{\mathrm{d} \mathtt{x3}\left( t \right)}{\mathrm{d}t} &= \mathtt{tipside}\left( t \right) \\
\frac{\mathrm{d} \mathtt{x2}\left( t \right)}{\mathrm{d}t} &= - \mathtt{tipside}\left( t \right) + \mathtt{tiptip}\left( t \right) \\
\frac{\mathrm{d} \mathtt{AEC}\left( t \right)}{\mathrm{d}t} &= \frac{\mathtt{J\_ANT}\left( t \right) + 2 \mathtt{J\_GPD}\left( t \right) - \mathtt{ATPstiochGK} \mathtt{J\_GK}\left( t \right) + \left( - \mathtt{kATP} - \mathtt{kATPCa} \mathtt{Ca\_c}\left( t \right) \right) \mathtt{ATP\_c}\left( t \right)}{\mathtt{V\_I} \mathtt{{\Sigma}Ac}} \\
\frac{\mathrm{d} \mathtt{Pyr}\left( t \right)}{\mathrm{d}t} &= \frac{ - \mathtt{J\_LDH}\left( t \right) - \mathtt{J\_PDH}\left( t \right) + \mathtt{J\_GPD}\left( t \right)}{\mathtt{V\_I} + \mathtt{V\_MTX}} - \mathtt{kPyr} \mathtt{Pyr}\left( t \right) \\
\frac{\mathrm{d} \mathtt{G3P}\left( t \right)}{\mathrm{d}t} &= \frac{ - \mathtt{J\_GPD}\left( t \right) + 2 \mathtt{J\_GK}\left( t \right)}{\mathtt{V\_I}} - \mathtt{kG3P} \mathtt{G3P}\left( t \right) \\
\frac{\mathrm{d} \mathtt{\Delta{\Psi}m}\left( t \right)}{\mathrm{d}t} &= \frac{ - 2 \mathtt{J\_MCU}\left( t \right) + \mathtt{J\_HR}\left( t \right) - \mathtt{J\_HL}\left( t \right) - \mathtt{J\_HF}\left( t \right) - \mathtt{J\_ANT}\left( t \right)}{\mathtt{C\_MIT}} \\
\frac{\mathrm{d} \mathtt{Ca\_m}\left( t \right)}{\mathrm{d}t} &= \frac{\mathtt{F\_M} \left( \mathtt{J\_MCU}\left( t \right) - \mathtt{J\_NCLX}\left( t \right) \right)}{\mathtt{V\_MTX}} \\
\frac{\mathrm{d} \mathtt{NADH\_c}\left( t \right)}{\mathrm{d}t} &= \frac{ - \mathtt{J\_LDH}\left( t \right) - \mathtt{J\_NADHT}\left( t \right) + \mathtt{J\_GPD}\left( t \right)}{\mathtt{V\_I}} - \mathtt{kNADHc} \mathtt{NADH\_c}\left( t \right) \\
\frac{\mathrm{d} \mathtt{NADH\_m}\left( t \right)}{\mathrm{d}t} &= \frac{\mathtt{J\_DH}\left( t \right) + \mathtt{J\_NADHT}\left( t \right) - \mathtt{J\_O2}\left( t \right)}{\mathtt{V\_MTX}} - \mathtt{kNADHm} \mathtt{NADH\_m}\left( t \right)
\end{align}
\end{split}\]
Fig 6#
prob_dm = SteadyStateProblem(sys, [], [rPDH=>0.5, rETC=>0.75, rHL=>1.4, rF1=>0.5])
prob_fccp = SteadyStateProblem(sys, [], [rHL=>5.0])
prob_rotenone = SteadyStateProblem(sys, [], [rETC=>0.1])
prob_oligomycin = SteadyStateProblem(sys, [], [rF1=>0.1])
function prob_func_glc(prob, i, repeat)
remake(prob, p=[Glc => glc[i]])
end
┌ Warning: `SciMLBase.SteadyStateProblem(sys, u0, p; kw...)` is deprecated. Use `SciMLBase.SteadyStateProblem(sys, merge(if isempty(u0)
│ Dict()
│ else
│ Dict(unknowns(sys) .=> u0)
│ end, Dict(p)))`
│ instead.
└ @ ModelingToolkit ~/.julia/packages/ModelingToolkit/IdXTK/src/deprecations.jl:127
┌ Warning: `SciMLBase.SteadyStateProblem(sys, u0, p; kw...)` is deprecated. Use `SciMLBase.SteadyStateProblem(sys, merge(if isempty(u0)
│ Dict()
│ else
│ Dict(unknowns(sys) .=> u0)
│ end, Dict(p)))`
│ instead.
└ @ ModelingToolkit ~/.julia/packages/ModelingToolkit/IdXTK/src/deprecations.jl:127
┌ Warning: `SciMLBase.SteadyStateProblem(sys, u0, p; kw...)` is deprecated. Use `SciMLBase.SteadyStateProblem(sys, merge(if isempty(u0)
│ Dict()
│ else
│ Dict(unknowns(sys) .=> u0)
│ end, Dict(p)))`
│ instead.
└ @ ModelingToolkit ~/.julia/packages/ModelingToolkit/IdXTK/src/deprecations.jl:127
┌ Warning: `SciMLBase.SteadyStateProblem(sys, u0, p; kw...)` is deprecated. Use `SciMLBase.SteadyStateProblem(sys, merge(if isempty(u0)
│ Dict()
│ else
│ Dict(unknowns(sys) .=> u0)
│ end, Dict(p)))`
│ instead.
└ @ ModelingToolkit ~/.julia/packages/ModelingToolkit/IdXTK/src/deprecations.jl:127
prob_func_glc (generic function with 1 method)
DM cells
alg = DynamicSS(TRBDF2())
prob_func=prob_func_glc
trajectories = length(glc)
sols = solve(EnsembleProblem(prob; prob_func, safetycopy=false), alg; trajectories)
solsDM = solve(EnsembleProblem(prob_dm; prob_func, safetycopy=false), alg; trajectories);
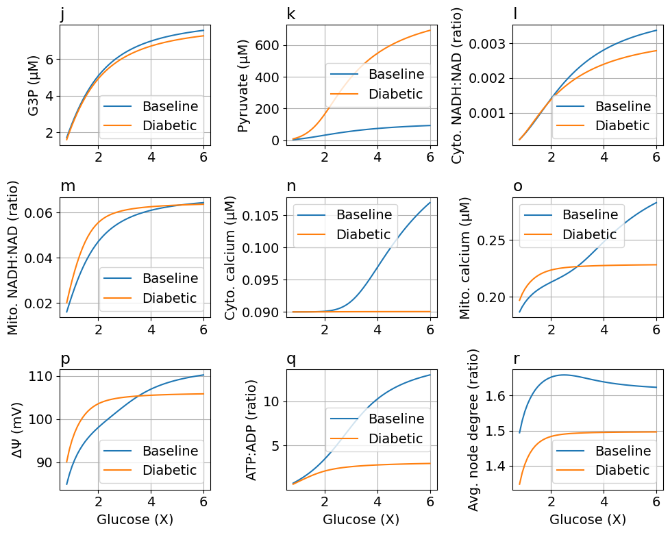
function plot_fig6(sols, solsDM, glc; figsize=(10, 8), labels=["Baseline", "Diabetic"])
glc5 = glc ./ 5
numrows = 3
numcols = 3
fig, ax = plt.subplots(numrows, numcols; figsize)
@unpack G3P = sys
ax[0, 0].plot(glc5, extract(sols, G3P * 1000), label=labels[1])
ax[0, 0].plot(glc5, extract(solsDM, G3P * 1000), label=labels[2])
ax[0, 0].set_title("j", loc="left")
ax[0, 0].set(ylabel="G3P (μM)")
@unpack Pyr = sys
ax[0, 1].plot(glc5, extract(sols, Pyr * 1000), label=labels[1])
ax[0, 1].plot(glc5, extract(solsDM, Pyr * 1000), label=labels[2])
ax[0, 1].set_title("k", loc="left")
ax[0, 1].set(ylabel="Pyruvate (μM)")
@unpack NADH_c, NAD_c = sys
ax[0, 2].plot(glc5, extract(sols, NADH_c/NAD_c), label=labels[1])
ax[0, 2].plot(glc5, extract(solsDM, NADH_c/NAD_c), label=labels[2])
ax[0, 2].set_title("l", loc="left")
ax[0, 2].set(ylabel="Cyto. NADH:NAD (ratio)")
@unpack NADH_m, NAD_m = sys
ax[1, 0].plot(glc5, extract(sols, NADH_m/NAD_m), label=labels[1])
ax[1, 0].plot(glc5, extract(solsDM, NADH_m/NAD_m), label=labels[2])
ax[1, 0].set_title("m", loc="left")
ax[1, 0].set(ylabel="Mito. NADH:NAD (ratio)")
@unpack Ca_c = sys
ax[1, 1].plot(glc5, extract(sols, Ca_c * 1000), label=labels[1])
ax[1, 1].plot(glc5, extract(solsDM, Ca_c * 1000), label=labels[2])
ax[1, 1].set_title("n", loc="left")
ax[1, 1].set(ylabel="Cyto. calcium (μM)")
@unpack Ca_m = sys
ax[1, 2].plot(glc5, extract(sols, Ca_m * 1000), label=labels[1])
ax[1, 2].plot(glc5, extract(solsDM, Ca_m * 1000), label=labels[2])
ax[1, 2].set_title("o", loc="left")
ax[1, 2].set(ylabel="Mito. calcium (μM)")
@unpack ΔΨm = sys
ax[2, 0].plot(glc5, extract(sols, ΔΨm * 1000), label=labels[1])
ax[2, 0].plot(glc5, extract(solsDM, ΔΨm * 1000), label=labels[2])
ax[2, 0].set_title("p", loc="left")
ax[2, 0].set(xlabel="Glucose (X)", ylabel="ΔΨ (mV)")
@unpack ATP_c, ADP_c = sys
ax[2, 1].plot(glc5, extract(sols, ATP_c/ADP_c), label=labels[1])
ax[2, 1].plot(glc5, extract(solsDM, ATP_c/ADP_c), label=labels[2])
ax[2, 1].set_title("q", loc="left")
ax[2, 1].set(xlabel="Glucose (X)", ylabel="ATP:ADP (ratio)")
@unpack degavg = sys
ax[2, 2].plot(glc5, extract(sols, degavg), label=labels[1])
ax[2, 2].plot(glc5, extract(solsDM, degavg), label=labels[2])
ax[2, 2].set_title("r", loc="left")
ax[2, 2].set(xlabel="Glucose (X)", ylabel="Avg. node degree (ratio)")
for i in 0:numrows-1, j in 0:numcols-1
ax[i, j].grid()
ax[i, j].legend()
end
fig.tight_layout()
return fig
end
plot_fig6 (generic function with 1 method)
fig6 = plot_fig6(sols, solsDM, glc)

Export figure
exportTIF(fig6, "Fig7-DM-steadystates.tif")
Python: None
Figure 7#
sols = solve(EnsembleProblem(prob; prob_func, safetycopy=false), alg; trajectories)
solsDM = solve(EnsembleProblem(prob_dm; prob_func, safetycopy=false), alg; trajectories)
solsFCCP = solve(EnsembleProblem(prob_fccp; prob_func, safetycopy=false), alg; trajectories)
solsRot = solve(EnsembleProblem(prob_oligomycin; prob_func, safetycopy=false), alg; trajectories)
solsOligo = solve(EnsembleProblem(prob_rotenone; prob_func, safetycopy=false), alg; trajectories);
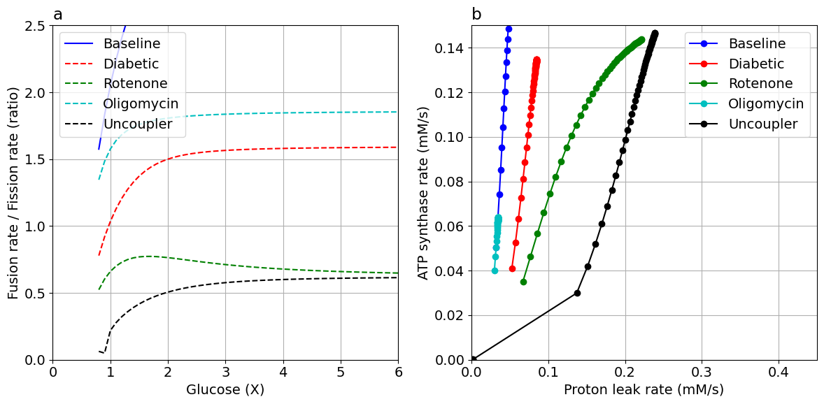
function plot_fig7(sols, solsDM, solsFCCP, solsRot, solsOligo, glc; figsize=(12, 6))
sys = sols[begin].prob.f.sys
@unpack J_HL, J_ANT = sys
# Gather ATP synthesis rate (fusion) and proton leak rate (fission)
jHL_baseline = extract(sols, J_HL)
jANT_baseline = extract(sols, J_ANT)
ff_baseline = jANT_baseline ./ jHL_baseline
jHL_dm = extract(solsDM, J_HL)
jANT_dm = extract(solsDM, J_ANT)
ff_dm = jANT_dm ./ jHL_dm
jHL_fccp = extract(solsFCCP, J_HL)
jANT_fccp = extract(solsFCCP, J_ANT)
ff_fccp = jANT_fccp ./ jHL_fccp
jHL_rot = extract(solsRot, J_HL)
jANT_rot = extract(solsRot, J_ANT)
ff_rot = jANT_rot ./ jHL_rot
jHL_oligo = extract(solsOligo, J_HL)
jANT_oligo = extract(solsOligo, J_ANT)
ff_oligo = jANT_oligo ./ jHL_oligo
glc5 = glc ./ 5
fig, ax = plt.subplots(1, 2; figsize)
ax[0].plot(glc5, ff_baseline, "b-", label="Baseline")
ax[0].plot(glc5, ff_dm, "r--", label="Diabetic")
ax[0].plot(glc5, ff_rot, "g--", label="Rotenone")
ax[0].plot(glc5, ff_oligo, "c--", label="Oligomycin")
ax[0].plot(glc5, ff_fccp, "k--", label="Uncoupler")
ax[0].set(xlabel="Glucose (X)", ylabel="Fusion rate / Fission rate (ratio)", xlim=(0.0, 6.0), ylim=(0.0, 2.5))
ax[0].set_title("a", loc="left")
ax[0].grid()
ax[0].legend()
ax[1].plot(jHL_baseline, jANT_baseline, "bo-", label="Baseline")
ax[1].plot(jHL_dm, jANT_dm, "ro-", label="Diabetic")
ax[1].plot(jHL_rot, jANT_rot, "go-", label="Rotenone")
ax[1].plot(jHL_oligo, jANT_oligo, "co-", label="Oligomycin")
ax[1].plot(jHL_fccp, jANT_fccp, "ko-", label="Uncoupler")
ax[1].set(xlabel="Proton leak rate (mM/s)", ylabel="ATP synthase rate (mM/s)", xlim=(0.0, 0.45), ylim=(0.0, 0.15))
ax[1].set_title("b", loc="left")
ax[1].grid()
ax[1].legend()
fig.tight_layout()
return fig
end
plot_fig7 (generic function with 1 method)
fig7 = plot_fig7(sols, solsDM, solsFCCP, solsRot, solsOligo, glc)

Export figure
exportTIF(fig7, "Fig8.tif")
Python: None
This notebook was generated using Literate.jl.