Figure 3#
Steady-state solutions across a range of glucose levels.
using OrdinaryDiffEq
using SteadyStateDiffEq
using ModelingToolkit
using MitochondrialDynamics
import PythonPlot as plt
plt.matplotlib.rcParams["font.size"] = 14
14
baseline model
@named sys = make_model()
@unpack Glc, G3P, Pyr, ATP_c, ADP_c, NADH_c, NADH_m, Ca_m, ΔΨm, x1, x2, x3 = sys
prob = SteadyStateProblem(sys, [])
alg = DynamicSS(TRBDF2())
sol = solve(prob, alg)
retcode: Success
u: 9-element Vector{Float64}:
0.0571446636249841
0.24237463663788206
0.5365859320570423
0.00679879039097767
0.002472068773156449
0.08901096138926226
0.00019466055321005284
0.0008000956847624291
0.05007786837364594
Galactose model: glycolysis produces zero net ATP By increasing the ATP consumed in the first part of glycolysis from 2 to 4
prob_gal = SteadyStateProblem(sys, [], [sys.ATPstiochGK => 4])
┌ Warning: `SciMLBase.SteadyStateProblem(sys, u0, p; kw...)` is deprecated. Use `SciMLBase.SteadyStateProblem(sys, merge(if isempty(u0)
│ Dict()
│ else
│ Dict(unknowns(sys) .=> u0)
│ end, Dict(p)))`
│ instead.
└ @ ModelingToolkit ~/.julia/packages/ModelingToolkit/IdXTK/src/deprecations.jl:127
SteadyStateProblem with uType Vector{Float64}. In-place: true
u0: 9-element Vector{Float64}:
0.06
0.24
0.9
0.0087
0.0029
0.092
0.0002
0.001
0.057
FFA model: Additional flux reducing mitochondrial NAD/NADH couple A 10% increase w.r.t baseline CAC flux
prob_ffa = SteadyStateProblem(sys, [], [sys.kFFA => sol[0.10 * sys.J_DH / sys.NAD_m]])
┌ Warning: `SciMLBase.SteadyStateProblem(sys, u0, p; kw...)` is deprecated. Use `SciMLBase.SteadyStateProblem(sys, merge(if isempty(u0)
│ Dict()
│ else
│ Dict(unknowns(sys) .=> u0)
│ end, Dict(p)))`
│ instead.
└ @ ModelingToolkit ~/.julia/packages/ModelingToolkit/IdXTK/src/deprecations.jl:127
SteadyStateProblem with uType Vector{Float64}. In-place: true
u0: 9-element Vector{Float64}:
0.06
0.24
0.9
0.0087
0.0029
0.092
0.0002
0.001
0.057
Simulating on a range of glucose Test on a range of glucose (3 mM to 30 mM)
glc = range(3.0, 30.0, step=0.3)
prob_func = (prob, i, repeat) -> begin
remake(prob, p=[Glc=> glc[i]])
end
trajectories = length(glc)
91
Run the simulations
sim = solve(EnsembleProblem(prob; prob_func, safetycopy=false), alg; trajectories)
sim_gal = solve(EnsembleProblem(prob_gal; prob_func, safetycopy=false), alg; trajectories)
sim_ffa = solve(EnsembleProblem(prob_ffa; prob_func, safetycopy=false), alg; trajectories);
Steady states for a range of glucose#
function plot_steady_state(glc, sols, sys; figsize=(10, 10), title="")
@unpack G3P, Pyr, Ca_c, Ca_m, NADH_c, NADH_m, NAD_c, NAD_m, ATP_c, ADP_c, AMP_c, ΔΨm, x1, x2, x3, degavg = sys
glc5 = glc ./ 5
g3p = extract(sols, G3P * 1000)
pyr = extract(sols, Pyr * 1000)
ca_c = extract(sols, Ca_c * 1000)
ca_m = extract(sols, Ca_m * 1000)
nad_ratio_c = extract(sols, NADH_c / NAD_c)
nad_ratio_m = extract(sols, NADH_m / NAD_m)
atp_c = extract(sols, ATP_c * 1000)
adp_c = extract(sols, ADP_c * 1000)
amp_c = extract(sols, AMP_c * 1000)
td = extract(sols, ATP_c / ADP_c)
dpsi = extract(sols, ΔΨm * 1000)
x1 = extract(sols, x1)
x2 = extract(sols, x2)
x3 = extract(sols, x3)
deg = extract(sols, degavg)
numrows = 3
numcols = 3
fig, axs = plt.subplots(numrows, numcols; figsize)
axs[0, 0].plot(glc5, g3p)
axs[0, 0].set(ylim=(0.0, 10.0), ylabel="G3P (μM)")
axs[0, 0].set_title("a", loc="left")
axs[0, 1].plot(glc5, pyr)
axs[0, 1].set(ylabel="Pyruvate (μM)")
axs[0, 1].set_title("b", loc="left")
axs[0, 2].plot(glc5, ca_c, label="Ca (cyto)")
axs[0, 2].plot(glc5, ca_m, label="Ca (mito)")
axs[0, 2].legend()
axs[0, 2].set(ylim=(0.0, 1.5), ylabel="Calcium (μM)")
axs[0, 2].set_title("c", loc="left")
axs[1, 0].plot(glc5, nad_ratio_c, label="cyto")
axs[1, 0].plot(glc5, nad_ratio_m, label="mito")
axs[1, 0].legend()
axs[1, 0].set(ylabel="NADH:NAD (ratio)")
axs[1, 0].set_title("d", loc="left")
axs[1, 1].plot(glc5, atp_c, label="ATP")
axs[1, 1].plot(glc5, adp_c, label="ADP")
axs[1, 1].plot(glc5, amp_c, label="AMP")
axs[1, 1].legend()
axs[1, 1].set(ylabel="Adenylates (μM)")
axs[1, 1].set_title("e", loc="left")
axs[1, 2].plot(glc5, td)
axs[1, 2].set(ylabel="ATP:ADP (ratio)")
axs[1, 2].set_title("f", loc="left")
axs[2, 0].plot(glc5, dpsi)
axs[2, 0].set(xlabel="Glucose (X)", ylabel="ΔΨ (mV)")
axs[2, 0].set_title("g", loc="left")
axs[2, 1].plot(glc5, x1, label="X1")
axs[2, 1].plot(glc5, x2, label="X2")
axs[2, 1].plot(glc5, x3, label="X3")
axs[2, 1].legend()
axs[2, 1].set(xlabel="Glucose (X)", ylabel="Mitochondrial nodes (a.u.)")
axs[2, 1].set_title("h", loc="left")
axs[2, 2].plot(glc5, deg)
axs[2, 2].set(xlabel="Glucose (X)", ylabel="Avg. node degree (a.u.)")
axs[2, 2].set_title("i", loc="left")
for i in 0:numrows-1, j in 0:numcols-1
axs[i, j].set_xticks(1:6)
axs[i, j].grid()
end
fig.suptitle(title)
fig.tight_layout()
return fig
end
plot_steady_state (generic function with 1 method)
fig = plot_steady_state(glc, sim, sys, title="")

Default parameters
exportTIF(fig, "Fig3-steady-state.tif")
Python: None
Adding free fatty acids
fig = plot_steady_state(glc, sim_ffa, sys, title="FFA model")

Using galactose instead of glucose as the hydrocarbon source
fig = plot_steady_state(glc, sim_gal, sys, title="Galactose model")

Comparing default, FFA, and galactose models#
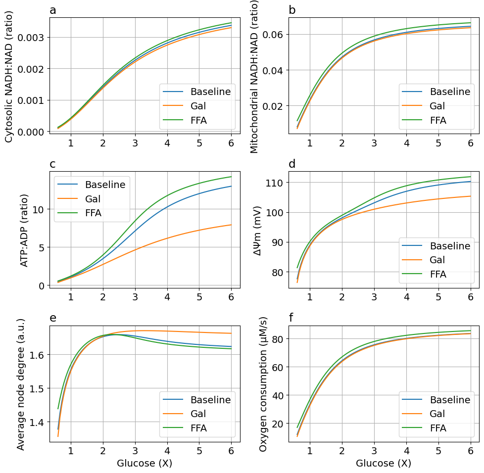
function plot_ffa_gal(glc, sim, sim_gal, sim_ffa, sys; figsize=(10, 10), title="", labels=["Baseline", "Gal", "FFA"])
@unpack G3P, Pyr, Ca_c, Ca_m, NADH_c, NADH_m, NAD_c, NAD_m, ATP_c, ADP_c, AMP_c, ΔΨm, degavg, J_O2 = sys
glc5 = glc ./ 5
numcol = 2
numrow = 3
fig, axs = plt.subplots(numrow, numcol; figsize)
axs[0, 0].set(ylabel="Cytosolic NADH:NAD (ratio)")
axs[0, 0].set_title("a", loc="left")
k = NADH_c / NAD_c
yy = [extract(sim, k) extract(sim_gal, k) extract(sim_ffa, k)]
lines = axs[0, 0].plot(glc5, yy)
axs[0, 0].legend(lines, labels)
axs[0, 1].set(ylabel="Mitochondrial NADH:NAD (ratio)")
axs[0, 1].set_title("b", loc="left")
k = NADH_m / NAD_m
yy = [extract(sim, k) extract(sim_gal, k) extract(sim_ffa, k)]
lines = axs[0, 1].plot(glc5, yy)
axs[0, 1].legend(lines, labels)
axs[1, 0].set(ylabel="ATP:ADP (ratio)")
axs[1, 0].set_title("c", loc="left")
k = ATP_c / ADP_c
yy = [extract(sim, k) extract(sim_gal, k) extract(sim_ffa, k)]
lines = axs[1, 0].plot(glc5, yy)
axs[1, 0].legend(lines, labels)
axs[1, 1].set(ylabel="ΔΨm (mV)")
axs[1, 1].set_title("d", loc="left")
k = ΔΨm * 1000
yy = [extract(sim, k) extract(sim_gal, k) extract(sim_ffa, k)]
lines = axs[1, 1].plot(glc5, yy)
axs[1, 1].legend(lines, labels)
axs[2, 0].set(ylabel="Average node degree (a.u.)")
axs[2, 0].set_title("e", loc="left")
k = degavg
yy = [extract(sim, k) extract(sim_gal, k) extract(sim_ffa, k)]
lines = axs[2, 0].plot(glc5, yy)
axs[2, 0].legend(lines, labels)
axs[2, 0].set(xlabel="Glucose (X)")
k = J_O2 * 1000
yy = [extract(sim, k) extract(sim_gal, k) extract(sim_ffa, k)]
lines = axs[2, 1].plot(glc5, yy)
axs[2, 1].legend(lines, labels)
axs[2, 1].set(xlabel="Glucose (X)", ylabel="Oxygen consumption (μM/s)")
axs[2, 1].set_title("f", loc="left")
for i in 0:numrow-1, j in 0:numcol-1
axs[i, j].set_xticks(1:6)
axs[i, j].grid()
end
fig.suptitle(title)
fig.tight_layout()
return fig
end
figFFAGal = plot_ffa_gal(glc, sim, sim_gal, sim_ffa, sys)

Export figure
exportTIF(figFFAGal, "Fig-Base-Gal-FFA.tif")
Python: None
This notebook was generated using Literate.jl.