MMSB textbook figures#
# Packages
import numpy as np
import matplotlib.pyplot as plt
from scipy.integrate import odeint
%matplotlib inline
# convenience function
def _ts(tend, num=100):
return np.linspace(0.0, tend, num=num)
def _mm(x, k=1):
return x / (x + k)
def _mmr(x, k=1):
return _mm(k, x)
def _hill(x, k, n):
return _mm(x**n, k**n)
def _hillr(x, k, n):
return _mmr(x**n, k**n)
Fig 1.7#
"""
model of Collins toggle switch
from Gardiner et al. (2000) Nature 403, pp. 339-342
Figures 1.7, 7.13, 7.14, 7.15
"""
# Model
def collin_toggle_switch(y, t, a1, a2, beta, gamma):
p1, p2 = y
i1 = 10 if 30 < t < 40 else 0
i2 = 10 if 10 < t < 20 else 0
"""Collins toggle switch function"""
dp1 = a1 * _hillr(p2, 1 + i2, beta) - p1
dp2 = a2 * _hillr(p1, 1 + i1, gamma) - p2
return [dp1, dp2]
# Initial conditions and parameters
ts = _ts(50.0)
y0 = [0.075, 2.5]
p = a1, a2, beta, gamma = 3, 2.5, 4, 4
sol = odeint(collin_toggle_switch, y0, ts, args=p)
# Plot the results
plt.figure()
plt.plot(ts, sol[:, 0], linewidth=2, label="Protein 1")
plt.plot(ts, sol[:, 1], linewidth=2, label="Protein 2")
plt.axis([ts[0], ts[-1], 0, 3.5])
plt.xlabel("Time")
plt.ylabel("Concentration")
plt.legend(loc='best')
<matplotlib.legend.Legend at 0x7f872852aa50>

Figure 1.9#
Hodgkin-Huxley electrophysiology model
"""
Hodgkin-Huxley model of excitable barnacle muscle fiber
reviewed in Rinzel (1990) Bulletin of Mathematical Biology 52 pp. 5-23.
Figure 1.9 and problem 8.6.4
"""
from numpy import exp
from scipy.special import exprel
def _istim(t):
if 20 < t <= 21:
return -6.80
elif 60 < t <= 61:
return -6.90
else:
return 0
def hh_sys(v, m, h, n):
"ODE system of Hodgkin-Huxley model"
mAlfaV = -0.10 * (v + 35)
mAlfa = 1 / exprel(mAlfaV)
mBeta = 4.0 * exp(-(v + 60) / 18.0)
dmdt = -(mAlfa + mBeta) * m + mAlfa
hAlfa = 0.07 * exp(-(v+60)/20)
hBeta = 1 / (exp(-(v+30)/10) + 1)
dhdt = -(hAlfa + hBeta) * h + hAlfa
nAlfaV = -0.1 * (v+50)
nAlfa = 0.1 / exprel(nAlfaV)
nBeta = 0.125 * exp( -(v+60) / 80)
dndt = -(nAlfa + nBeta) * n + nAlfa
return (dmdt, dhdt, dndt)
def hh_currents(v, m, h, n,
E_N = 55, # Reversal potential of Na
E_K = -72, # Reversal potential of K
E_LEAK = -49.0, # Reversal potential of leaky channels
G_N_BAR = 120.0, # Max. Na channel conductance
G_K_BAR = 36.0, # Max. K channel conductance
G_LEAK = 0.30): # Max. leak channel conductance
"Hodgkin-Huxley channel currents"
iNa = G_N_BAR * (v - E_N) * (m**3) * h
iK = G_K_BAR * (v - E_K) * (n**4)
iLeak = G_LEAK * (v - E_LEAK)
return (iNa, iK, iLeak)
def hh_rhs(y, t,
E_N = 55, # Reversal potential of Na
E_K = -72, # Reversal potential of K
E_LEAK = -49.0, # Reversal potential of leaky channels
G_N_BAR = 120.0, # Max. Na channel conductance
G_K_BAR = 36.0, # Max. K channel conductance
G_LEAK = 0.30, # Max. leak channel conductance
C_M = 1.0 # membrane capacitance iStim
):
# Differential equations quations
v, m, h, n = y
(dmdt, dhdt, dndt) = hh_sys(v, m, h, n)
(iNa, iK, iLeak) = hh_currents(v, m, h, n,
E_N = E_N,
E_K = E_K,
E_LEAK = E_LEAK,
G_N_BAR = G_N_BAR,
G_K_BAR = G_K_BAR,
G_LEAK = G_LEAK)
dVdt = -(iNa + iK + iLeak + _istim(t)) / C_M
return [dVdt, dmdt, dhdt, dndt]
# Initial conditions
y0 = v, m, h, n = -59.8977, 0.0536, 0.5925, 0.3192
ts = _ts(100)
sol = odeint(hh_rhs, y0, ts)
plt.figure(figsize=(10, 7))
plt.plot(ts, sol[:, 0], linewidth=2)
plt.xlabel("Time (ms)")
plt.ylabel("Membrane voltage (mV)")
Text(0, 0.5, 'Membrane voltage (mV)')

(iNa, iK, iLeak) = hh_currents(sol[:, 0], sol[:, 1], sol[:, 2], sol[:, 3])
plt.figure(figsize=(10, 7))
plt.plot(ts, iNa, linewidth=2, label="iNa")
plt.plot(ts, iK, linewidth=2, label="iK")
plt.plot(ts, iLeak, linewidth=2, label="iLeak")
plt.xlabel("Time (ms)")
plt.ylabel("Current (uA/cm^2)")
plt.legend(loc="best")
<matplotlib.legend.Legend at 0x7f872410df90>

def rhs(y, t):
a, b, c, d = y
v1 = 2 * a
v2 = 2.5 * a * b
dA = 3 - v1 - v2
dB = v1 - v2
dC = v2 - 3 * c
dD = v2 - 4 * d
return [dA, dB, dC, dD]
ts = _ts(4.0)
y0 = [0, 0, 0, 0]
y = odeint(rhs, y0, ts)
plt.figure()
for i, leg in enumerate(('A', 'B', 'C', 'D')):
plt.plot(ts, y[:, i], label=leg)
plt.axis([ts[0], ts[-1], 0, 1])
plt.legend(loc='best')
plt.xlabel('Time (sec)')
plt.ylabel('Concentration (mM)')
Text(0, 0.5, 'Concentration (mM)')

Fig 2.11, 2.12, 2.13, 2.14#
Model reduction
"""
Figure 2.11 (Fig 1) & Figure 2.12 (Fig 2)
Simulation and rapid equilibrium approximation
As well as figure 2.13 Rapid equilibrium approximation
"""
def original_rhs(y, t, k0, k1, km1, k2):
a, b = y
vf = k1 * a
vb = km1 * b
dA = k0 - vf + vb
dB = vf - vb - k2 * b
return [dA, dB]
def approx_rhs(y, t, k0, k1, km1, k2):
b = k1 / (km1 + k1) * y
return k0 - k2 * b
def qssa_rhs(y, t, k0, k1, km1, k2):
return k0 - k2 * y
ts = _ts(3.0)
# Figure 2.11 (Fig 1)
p = k0, k1, km1, k2 = 0, 9, 12, 2
y0 = [0, 10]
sol = odeint(original_rhs, y0, ts, args=p)
plt.figure()
plt.title('Reference')
plt.plot(ts, sol, linewidth=3)
plt.legend(('a', 'b'), loc='best')
plt.xlabel('Time (arbitrary units)')
plt.ylabel('Concentration (arbitrary units)')
Text(0, 0.5, 'Concentration (arbitrary units)')

# Figure 2.12 (Fig 2)
y0 = [10]
sol_re = odeint(approx_rhs, y0, ts, args=p)
plt.figure()
plt.title('Ref vs Fast equlibrium')
plt.plot(ts, sol, linewidth=2)
plt.plot(ts, km1 / (km1 + k1) * sol_re, linewidth=2)
plt.plot(ts, k1 / (km1 + k1) * sol_re, linewidth=2)
plt.legend(('a', 'b', 'a (reduced)', 'b (reduced)'), loc='best')
plt.xlabel('Time (arbitrary units)')
plt.ylabel('Concentration (arbitrary units)')
Text(0, 0.5, 'Concentration (arbitrary units)')

# Figure 2.13
p = k0, k1, km1, k2 = 9, 20, 12, 2
sol = odeint(original_rhs, [8, 4], ts, args=p)
sol_re = odeint(approx_rhs, [12], ts, args=p)
plt.figure()
plt.title('Ref vs Fast equlibrium (Figure 2.13)')
plt.plot(ts, sol, linewidth=2)
plt.plot(ts, km1 / (km1 + k1) * sol_re, linewidth=2)
plt.plot(ts, k1 / (km1 + k1) * sol_re, linewidth=2)
plt.legend(('a', 'b', 'a (reduced)', 'b (reduced)'), loc='best')
plt.xlabel('Time (arbitrary units)')
plt.ylabel('Concentration (arbitrary units)')
Text(0, 0.5, 'Concentration (arbitrary units)')

# Figure 2.14
ts = _ts(4.0)
p = k0, k1, km1, k2 = 5, 20, 12, 2
sol = odeint(original_rhs, [8, 4], ts, args=p)
sol_qss = odeint(qssa_rhs, [235/32], ts, args=p)
bQss = sol_qss
aQss = (k0 + km1 * bQss) / k1
plt.figure()
plt.title('Ref vs QSSA (Figure 2.14)')
plt.plot(ts, sol, linewidth=2)
plt.plot(ts, bQss, linewidth=2)
plt.plot(ts, aQss, linewidth=2)
plt.legend(('a', 'b', 'a (reduced)', 'b (reduced)'), loc='best')
plt.xlabel('Time (arbitrary units)')
plt.ylabel('Concentration (arbitrary units)')
Text(0, 0.5, 'Concentration (arbitrary units)')

Problem 2.4.6#
Simple kinetic model
"""Problem 2.4.6"""
def rhs(y, t, k):
return k - k*y
ts = _ts(10.0)
y0 = [0]
sol = odeint(rhs, y0, ts, args=(1, ))
plt.figure()
plt.plot(ts, sol, linewidth=3)
plt.xlabel('Time (arbitrary units)')
plt.ylabel('Concentration (arbitrary units)')
Text(0, 0.5, 'Concentration (arbitrary units)')

Fig 3.3#
Michaelis-Menten kinetics
""" Figure 3.3 Michaelis-Menten kinetics """
def rhs_full_mm(y, t, et, k1, km1, k2):
"""
S + E <-> ES complex -> P + E
"""
s, es, p = y
e = et - es
v1 = k1 * s * e - km1 * es
v2 = k2 * es
return [-v1, v1 - v2, v2]
# Run full model
ts = _ts(1.0)
p = (et, k1, km1, k2) = (1, 30, 1, 10)
y0 = np.array([5, 0, 0]) # S, C, and P
sol = odeint(rhs_full_mm, y0, ts, args=p)
# Plot full model
plt.figure()
plt.plot(ts, sol)
plt.plot(ts, et-sol[:, 1])
plt.legend(('s', 'c', 'p', 'e'), loc='best')
plt.axis([ts[0], ts[-1], 0, 5])
plt.xlabel('Time (arbitrary units)')
plt.ylabel('Concentration (arbitrary units)')
Text(0, 0.5, 'Concentration (arbitrary units)')

# Run reduced model
def rhs_reduced_mm(y, t, et, k1, km1, k2):
"""
QSSA of the ES complex
"""
return - k1 * k2 * et * y / (km1 + k2 + k1 * y)
y0 = [5]
sol_re = odeint(rhs_reduced_mm, y0, ts, args=p)
# Plot full and reduced model
plt.figure()
plt.plot(ts, sol[:, 0], label='s (full model)')
plt.plot(ts, sol[:, 2], label='p (full model)')
plt.plot(ts, sol_re, label='s (reduced model)')
plt.plot(ts, 5-sol_re, label='p (reduced model)')
plt.axis([0, 1, 0, 5])
plt.legend(loc='best')
plt.xlabel('Time (arbitrary units)')
plt.ylabel('Concentration (arbitrary units)')
Text(0, 0.5, 'Concentration (arbitrary units)')

Fig 3.13#
GMA vs MM
"""Figure 3.13: Comparions of GMA and Michaelis-Menten rate laws"""
ts = _ts(4.0)
plt.plot(ts, 2 * ts / (1 + ts), linewidth=2, label='Michaelis-Menten')
plt.plot(ts, ts**0.4, linewidth=2, label='GMA')
plt.xlabel('Substrate concentration (arbitrary units)')
plt.ylabel('Reaction rate (arbitrary units)')
plt.legend(loc='best')
<matplotlib.legend.Legend at 0x7f8723b50cd0>

Problem 3.7.5 part (a)#
Chained model
def model(y, t, v0, vm1, vm2, vm3, km1, km2, km3):
s1, s2, s3 = y
v1 = vm1 * _mm(s1, km1)
v2 = vm2 * _mm(s2, km2)
v3 = vm3 * _mm(s3, km3)
return [v0-v1, v1-v2, v2-v3]
def model_reduced(y, t, v0, vm1, vm2, vm3, km1, km2, km3):
s1, s2, s3 = y
v1 = vm1 * s1 / km1
v2 = vm2 * s2 / km2
v3 = vm3 * s3 / km3
return [v0-v1, v1-v2, v2-v3]
p = v0, vm1, vm2, vm3, km1, km2, km3 = (2, 9, 12, 15, 1, 0.4, 3)
# First set of ICs
ts = _ts(2.0)
u0 = [0.3, 0.2, 0.1]
sol1 = odeint(model, u0, ts, args=p)
plt.figure()
plt.plot(ts, sol1)
plt.legend(('s1', 's2', 's3'), loc='best')
plt.axis([ts[0], ts[-1], 0, 0.8])
plt.xlabel('Time (arbitrary units)')
plt.ylabel('Concentration (arbitrary units)')
Text(0, 0.5, 'Concentration (arbitrary units)')

# Second set of ICs
u0 = [6, 4, 4.0]
ts = _ts(4.0)
sol2 = odeint(model, u0, ts, args=p)
plt.figure()
plt.plot(ts, sol2)
plt.legend(('s1', 's2', 's3'), loc='best')
plt.axis([ts[0], ts[-1], 0, 6])
plt.xlabel('Time (arbitrary units)')
plt.ylabel('Concentration (arbitrary units)')
Text(0, 0.5, 'Concentration (arbitrary units)')

# Reduced model (1st IC set)
ts = _ts(2.0)
u0 = [0.3, 0.2, 0.1]
sol3 = odeint(model_reduced, u0, ts, args=p)
plt.figure()
plt.plot(ts, sol3)
plt.plot(ts, sol1, '.')
plt.legend(('s1(reduced)', 's2(reduced)', 's3(reduced)', 's1', 's2', 's3'))
plt.axis([ts[0], ts[-1], 0, 0.8])
plt.xlabel('Time (arbitrary units)')
plt.ylabel('Concentration (arbitrary units)')
Text(0, 0.5, 'Concentration (arbitrary units)')

# Reduced model (2nd IC set)
u0 = [6, 4, 4.0]
ts = _ts(4.0)
sol4 = odeint(model_reduced, u0, ts, args=p)
plt.figure()
plt.plot(ts, sol4)
plt.plot(ts, sol2, '.')
plt.legend(('s1(reduced)', 's2(reduced)', 's3(reduced)', 's1', 's2', 's3'))
plt.axis([ts[0], ts[-1], 0, 6])
plt.xlabel('Time (arbitrary units)')
plt.ylabel('Concentration (arbitrary units)')
Text(0, 0.5, 'Concentration (arbitrary units)')

Figures 4.2, 4.3, 4.4A, 4.5, 4.18#
Model of asymmetric network
"""
Model of asymmetric network from Figure 4.1.
This code generates phase plane in Figures 4.2, 4.3, 4.4A, 4.5 and
continuation diagram in Figure 4.18
"""
def rhs(y, t, k1, k2, k3, k4, k5, n):
s1, s2 = y
v1 = k1 / (1 + s2**n)
v2 = k2
v3 = k3 * s1
v4 = k4 * s2
v5 = k5 * s1
return [v1 - v3 - v5, v2 + v5 - v4]
ts = _ts(1.4)
p = k1, k2, k3, k4, k5, n = 20, 5, 5, 5, 2, 4
y0s = [[0, 0], [0.5, 0.6], [0.17, 1.1], [0.25, 1.9], [1.85, 1.7]]
sols = [odeint(rhs, y0, ts, args=p) for y0 in y0s]
# Fig. 4.2A (Time series)
plt.figure(figsize=(10, 7))
plt.title("Fig 4.2A")
plt.plot(ts, sols[0])
plt.legend(('$S_1$', '$S_2$'))
plt.xlabel('Time')
plt.ylabel('Concentration')
Text(0, 0.5, 'Concentration')

# Fig. 4.2B (Phase portrait)
plt.figure(figsize=(10, 7))
plt.title("Fig 4.2B")
plt.plot(sols[0][:, 0], sols[0][:, 1])
plt.axis([0, 2, 0, 2])
plt.xlabel('Concentration of $S_1$')
plt.ylabel('Concentration of $S_2$')
Text(0, 0.5, 'Concentration of $S_2$')

# Fig. 4.3A (Multiple time series)
plt.figure(figsize=(10, 7))
plt.title("Fig 4.3A")
plt.axis([0, 1.5, 0, 2])
plt.xlabel('Time')
plt.ylabel('Concentration')
for sol, color in zip(sols, 'rgbyk'):
plt.plot(ts, sol[:, 0], color)
plt.plot(ts, sol[:, 1], color + '.')

# Fig. 4.3B (multiple phase protraits)
plt.figure(figsize=(10, 7))
plt.axis([0, 2, 0, 2])
plt.title("Fig 4.3B")
plt.xlabel('Concentration of $S_1$')
plt.ylabel('Concentration of $S_2$')
for sol, color in zip(sols, 'rgbyk'):
plt.plot(sol[:, 0], sol[:, 1], color)

# Figure 4.4A (with stream plot)
plt.figure(figsize=(10, 7))
plt.axis([0, 2, 0, 2])
plt.title("Fig 4.4A")
plt.xlabel('Concentration of $S_1$')
plt.ylabel('Concentration of $S_2$')
for sol, color in zip(sols, 'rgbyk'):
plt.plot(sol[:, 0], sol[:, 1], color)
yy, xx = np.ogrid[0:2:20j, 0:2:20j]
xdot, ydot = rhs([xx, yy], 0, *p)
plt.streamplot(xx, yy, xdot, ydot, color=np.hypot(xdot, ydot))
<matplotlib.streamplot.StreamplotSet at 0x7f87283312b0>

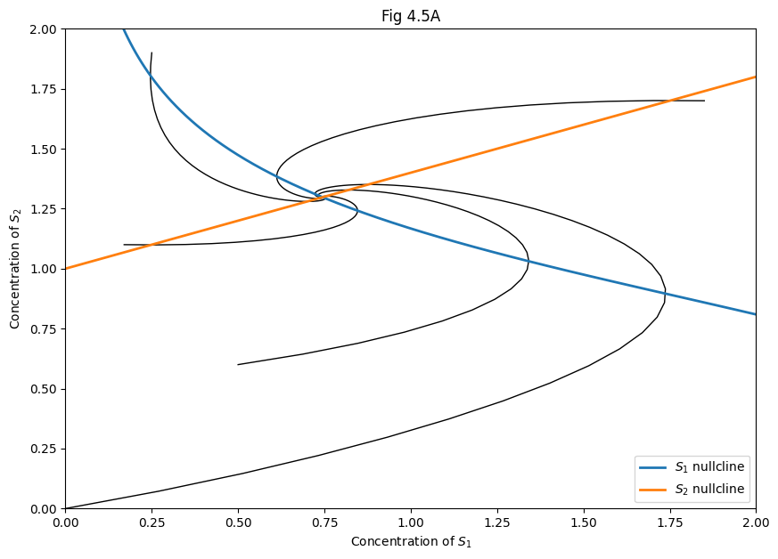
# Figure 4.5A (nullclines)
plt.figure(figsize=(10, 7))
plt.axis([0, 2, 0, 2])
plt.title("Fig 4.5A")
plt.xlabel('Concentration of $S_1$')
plt.ylabel('Concentration of $S_2$')
for sol in sols:
plt.plot(sol[:, 0], sol[:, 1], 'k', linewidth=1)
# nullclines (ds/dt = 0)
ns12 = np.linspace(0, 2, 100)
ns11 = k1 / ((k3 + k5) * (1 + ns12**n))
ns21 = np.linspace(0, 2, 100)
ns22 = (k2 + k5 * ns21) / k4
plt.plot(ns11, ns12, label='$S_1$ nullcline', linewidth=2)
plt.plot(ns21, ns22, label='$S_2$ nullcline', linewidth=2)
plt.legend(loc='best')
<matplotlib.legend.Legend at 0x7f87204cfd90>

# Figure 4.5B
plt.figure(figsize=(10, 7))
plt.axis([0, 2, 0, 2])
plt.title("Fig 4.5B")
plt.xlabel('Concentration of $S_1$')
plt.ylabel('Concentration of $S_2$')
plt.streamplot(xx, yy, xdot, ydot, color=np.hypot(xdot, ydot))
plt.plot(ns11, ns12, label='$S_1$ nullcline', linewidth=2)
plt.plot(ns21, ns22, label='$S_2$ nullcline', linewidth=2)
plt.legend(loc='best')
<matplotlib.legend.Legend at 0x7f8720266c10>

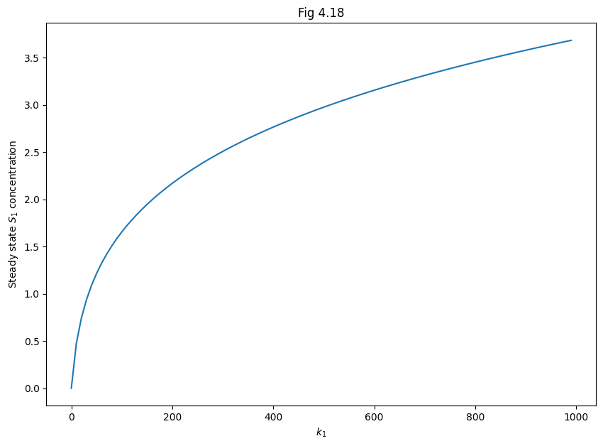
# Figure 4.18
# Find steady states for different values of k_1
k1s = range(0, 1000, 10)
s1s = [odeint(rhs, [0, 0], np.linspace(0, 200), args=(k1, *p[1:]))[-1, 0] for k1 in k1s]
plt.figure(figsize=(10, 7))
plt.title("Fig 4.18")
plt.plot(k1s, s1s)
plt.xlabel('$k_1$')
plt.ylabel('Steady state $S_1$ concentration')
Text(0, 0.5, 'Steady state $S_1$ concentration')

Fig 4.7, 4.8, 4.9, and 4.19A#
symmetric network
"""
Model of symmetric network from Figure 4.6. This code generates Figures
4.7, 4.8, 4.9, and 4.19A
"""
def model(y, t, k1, k2, k3, k4, n1, n2):
"""
dynamics for symmetric network model
"""
s1, s2 = y
dS1 = k1 * _hillr(s2, 1, n2) - k3 * s1
dS2 = k2 * _hillr(s1, 1, n1) - k4 * s2
return [dS1, dS2]
def s1_nullcline(ns12, k1, k2, k3, k4, n1, n2):
return k1 / k3 * _hillr(ns12, 1, n2)
def s2_nullcline(ns21, k1, k2, k3, k4, n1, n2):
return k2 / k4 * _hillr(ns21, 1, n1)
ts = _ts(4.0)
p = k1, k2, k3, k4, n1, n2 = 20, 20, 5, 5, 1, 4
# Fig 4.7A: imbalanced inhibition strength
y0s = ([3, 1], [1, 3])
sols = [odeint(model, y0, ts, args=p) for y0 in y0s]
fig, ax = plt.subplots(2, 1, figsize=(7, 7))
plt.suptitle("Fig 4.7 A")
for axi, sol in zip(ax, sols):
axi.plot(ts, sol, lw=3)
axi.set_ylim((0, 5))
axi.set_xlabel("Time")
axi.set_ylabel("Concentration")
axi.legend(("$S_1$", "$S_2$"), loc='best')

# Fig 4.7B: phase portrait (stream plot)
plt.figure(figsize=(7, 7))
plt.title("Fig 4.7 B")
plt.xlabel('Concentration of $S_1$')
plt.ylabel('Concentration of $S_2$')
plt.axis([0, 5, 0, 5])
yy, xx = np.ogrid[0:5:50j, 0:5:50j]
xdot, ydot = model([xx, yy], 0, *p)
plt.streamplot(xx, yy, xdot, ydot, color=np.hypot(xdot, ydot))
# Nullclines
ns12 = np.linspace(0, 5, 100)
ns11 = s1_nullcline(ns12, *p)
ns21 = np.linspace(0, 5, 100)
ns22 = s2_nullcline(ns21, *p)
plt.plot(ns11, ns12, '.')
plt.plot(ns21, ns22, '.')
[<matplotlib.lines.Line2D at 0x7f87200fed50>]

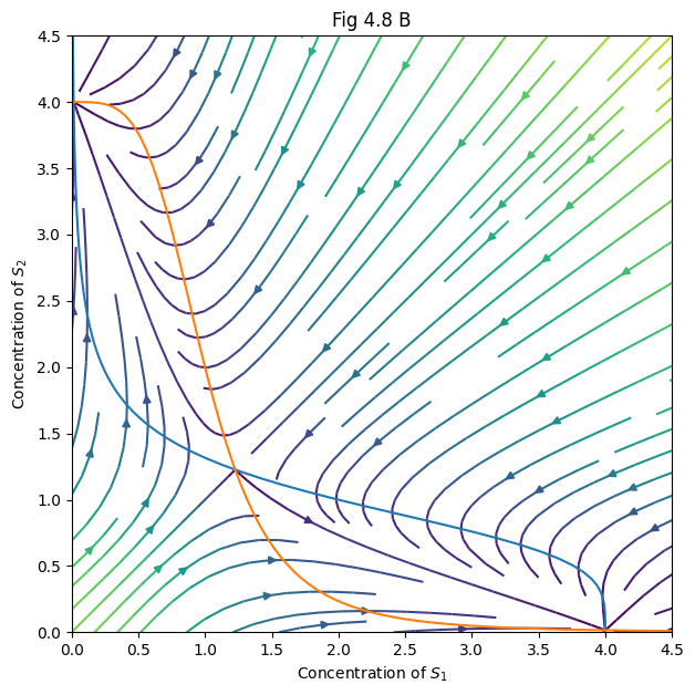
# Fig 4.8A: Symmetric parameters
p = k1, k2, k3, k4, n1, n2 = 20, 20, 5, 5, 4, 4
sols = [odeint(model, y0, ts, args=p) for y0 in y0s]
fig, ax = plt.subplots(2, 1, figsize=(7, 7))
plt.suptitle("Fig 4.8 A")
for axi, sol in zip(ax, sols):
axi.plot(ts, sol, lw=3)
axi.set_ylim((0, 5))
axi.set_ylim((0, 5))
axi.set_xlabel("Time")
axi.set_ylabel("Concentration")
axi.legend(("$S_1$", "$S_2$"), loc='best')

# Fig. 4.8B
xdot, ydot = model([xx, yy], 0, *p)
ns11 = s1_nullcline(ns12, *p)
ns22 = s2_nullcline(ns21, *p)
plt.figure(figsize=(7, 7))
plt.title("Fig 4.8 B")
plt.xlabel('Concentration of $S_1$')
plt.ylabel('Concentration of $S_2$')
plt.axis([0, 4.5, 0, 4.5])
plt.streamplot(xx, yy, xdot, ydot, color=np.hypot(xdot, ydot))
plt.plot(ns11, ns12, ns21, ns22)
[<matplotlib.lines.Line2D at 0x7f871be74410>,
<matplotlib.lines.Line2D at 0x7f871be74550>]

# Fig. 4.9
plt.figure(figsize=(7, 7))
plt.title("Fig 4.9 B")
plt.xlabel('Concentration of $S_1$')
plt.ylabel('Concentration of $S_2$')
plt.axis([0.5, 2, 0.5, 2])
y0s = ([0.525, 0.5], [0.5, 0.525], [4, 3.9], [3.9, 4],
[0.75, 0.5], [0.5, 0.75], [2, 1.5], [1.5, 2])
sols = [odeint(model, y0, np.linspace(0.0, 4.0, 400), args=p) for y0 in y0s]
plt.plot(ns11, ns12, ns21, ns22)
for sol in sols:
plt.plot(sol[:, 0], sol[:, 1])
plt.show()

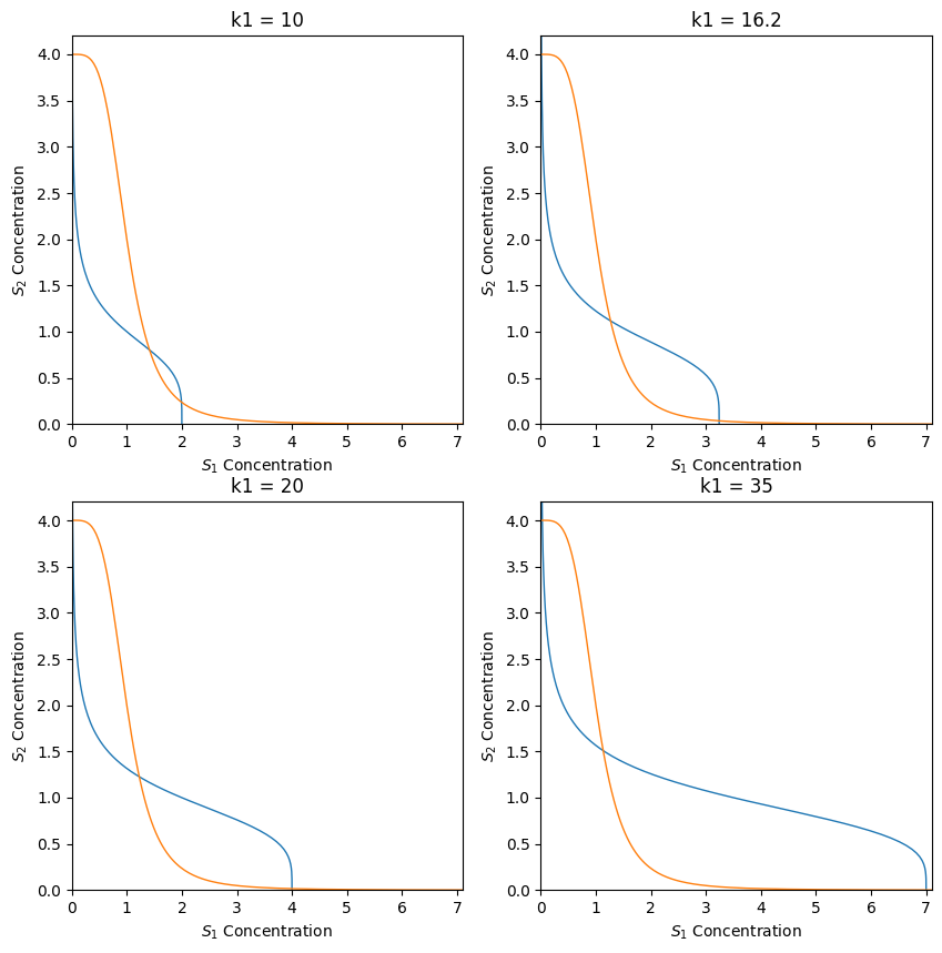
# Fig 4.19A
fig, ax = plt.subplots(2, 2, figsize=(10, 10))
k1s = (10, 16.2, 20, 35)
for k1, axi in zip(k1s, np.ravel(ax)):
axi.set_title(f'k1 = {k1}')
ns12, ns21 = np.linspace(0, 8, 200), np.linspace(0, 8, 200)
ns11 = s1_nullcline(ns12, k1, *p[1:])
ns22 = s2_nullcline(ns21, k1, *p[1:])
axi.plot(ns11, ns12, lw=1, label='$S_1$ nullcline')
axi.plot(ns21, ns22, lw=1, label='$S_2$ nullcline')
axi.set_xlim((0, 7.1))
axi.set_ylim((0, 4.2))
axi.set_xlabel('$S_1$ Concentration')
axi.set_ylabel('$S_2$ Concentration')
plt.show()

Fig 4.11#
potential surfaces
"""
plot potential surfaces in Figure 4.11.
The plots can be rotated to match the figure.
"""
from mpl_toolkits.mplot3d import Axes3D
def get_z1(x, y):
return x **2 + 0.5 * y ** 2
def get_z2(x, y):
return (0.2 * x ** 2 - 1) ** 2 + y **2
# plot surface
xx, yy = np.mgrid[-1:1:80j, -2:2:80j]
fig = plt.figure(1, figsize=(10, 10))
ax = fig.add_subplot(projection='3d')
ax.plot_surface(xx, yy, get_z1(xx, yy), cmap=plt.cm.viridis, linewidth=0.5)
# ax.axis([-2, 2, -2, 2, 0, 3])
# plot (approximate) trajectories
x1 = np.zeros(10)
y1 = np.linspace(0, 2, 10)
x2 = np.linspace(0, 0.75, 50)
y2 = 2.3 * np.sqrt(x2)
x3 = np.linspace(0, 1, 10)
y3 = np.zeros(10)
for x, y in zip((x1, x2, x3), (y1, y2, y3)):
ax.plot(x, y, get_z1(x,y), linewidth=2)
plt.show()

# double-well potential
xx, yy = np.meshgrid(np.linspace(-2.75, 2.75, 80), np.linspace(-0.75, 0.75, 80))
fig = plt.figure(2, figsize=(10, 10))
ax = fig.add_subplot(projection='3d')
# ax.axis([-2.5, 2.5, -2, 2])
ax.plot_surface(xx, yy, get_z2(xx, yy), cmap=plt.cm.viridis, linewidth=0.5)
<mpl_toolkits.mplot3d.art3d.Poly3DCollection at 0x7f871b9fe0d0>

# plot (approximate) trajectories
x1 = np.zeros(10)
y1 = np.linspace(0, 0.75, 10)
x2 = np.linspace(-0.14, -2.2, 50)
y2 = 0.01 * (x2 + 2.2) ** 6
x3 = np.linspace(-1.14, -2.2, 50)
y3 = 0.62 * (x3 + 2.2) ** 3
x4 = np.linspace(0.14, 2.2, 50)
y4 = 0.01 * (x4 - 2.2) ** 6
x5 = np.linspace(1.14, 2.2, 50)
y5 = -0.62 * (x5 - 2.2) ** 3
for x, y in zip((x1, x2, x3, x4, x5), (y1, y2, y3, y4, y5)):
ax.plot(x, y, get_z2(x,y), linewidth=2)
plt.show()
Figure 4.13#
"""
plot the surface and tangent plane in Figure 4.13.
"""
from mpl_toolkits.mplot3d import Axes3D
def get_z(x, y):
return x * y / ((1 + x) * (1 + y))
def get_tangent_plane(x, y):
return 4/9 + (6/81)*(x-2) + (6/81)*(y-2)
s = np.linspace(0.5, 4, 80)
s1, s2 = np.meshgrid(s, s)
z = get_z(s1, s2)
ss = np.linspace(1, 2.75, 30)
ss1, ss2 = np.meshgrid(ss, ss)
tan = get_tangent_plane(ss1, ss2)
# generate plot
fig = plt.figure(figsize=(10, 10))
ax = fig.add_subplot(projection='3d')
ax.set_xlabel('$s_1$')
ax.set_ylabel('$s_2$')
ax.plot_surface(s1, s2, z, cmap=plt.cm.viridis, linewidth=0.5)
ax.plot_surface(ss1, ss2, tan, cmap=plt.cm.inferno, linewidth=0.5)
plt.show(fig)

Figure 4.15, 4.16, and 4.17#
Oscillatory network
"""
Model of oscillatory network from Figure 4.14. This code generates Figures
4.15, 4.16, and 4.17
"""
def model(y, t, k0, k1, k2, n):
"""
Dynamics for oscillatory network
"""
s1, s2 = y
v0 = k0
v1 = k1 * s1 * (1 + s2 ** n)
v2 = k2 * s2
return [v0 - v1, v1 - v2]
def s1_nullcline(ns12, k0, k1, k2, n):
return k0 / (k1 * (1 + ns12 ** n))
def s2_nullcline(ns22, k0, k1, k2, n):
return k2 * ns22 / (k1 * (1 + ns22 ** n))
ts = _ts(8.0, num=300)
# Damped oscillator
p = k0, k1, k2, n = 8, 1, 5, 2
y0s = [[1.5, 1], [0, 1], [0, 3], [2, 0]]
sols = [odeint(model, y0, ts, args=p) for y0 in y0s]
# Fig 4.15 A
plt.figure(figsize=(7, 7))
plt.title('Fig. 4.15 A')
plt.plot(ts, sols[0])
plt.axis([ts[0], ts[-1], 0, 3.5])
plt.xlabel('Time')
plt.ylabel('Concentration')
plt.legend(('$S_1$', '$S_2$'), loc='best')
plt.show()

# Fig. 4.15 B
plt.figure(figsize=(7, 7))
for sol in sols[1:]:
plt.plot(sol[:, 0], sol[:, 1], lw=2)
yy, xx = np.ogrid[0:4:20j, 0:4:20j]
xdot, ydot = model([xx, yy], 0, *p)
vec_len = np.hypot(xdot, ydot)
plt.quiver(xx, yy, xdot/vec_len, ydot/vec_len, vec_len)
ns12, ns22 = np.linspace(0, 4, 100), np.linspace(0, 4, 100)
ns11, ns21 = s1_nullcline(ns12, *p), s2_nullcline(ns22, *p)
plt.plot(ns11, ns12, '--', lw=2)
plt.plot(ns21, ns22, '--', lw=2)
plt.axis([0, 4, 0, 4])
plt.xlabel('$S_1$ Concentration')
plt.ylabel('$S_2$ Concentration')
plt.title('Fig. 4.15 B')
plt.show()

# Sustained (limit cycle) oscillations
p = k0, k1, k2, n = 8, 1, 5, 2.5
ts = _ts(40.0, num=1000)
y0s = [[0, 1], [0, 3], [2, 0]]
sols = [odeint(model, y0, ts, args=p) for y0 in y0s]
# figure 4.16A
plt.figure(figsize=(7, 7))
plt.title('Fig. 4.16 A')
plt.plot(ts, sols[0], lw=3)
plt.axis([0, 8, 0, 4])
plt.xlabel('Time')
plt.ylabel('Concentration')
plt.legend(('$S_1$', '$S_2$'), loc='best')
plt.show()

# Phase plot of limit cycle
plt.figure(figsize=(7, 7))
for sol in sols[1:]:
plt.plot(sol[:, 0], sol[:, 1], lw=2)
yy, xx = np.ogrid[0:4:20j, 0:4:20j]
xdot, ydot = model([xx, yy], 0, *p)
vec_len = np.hypot(xdot, ydot)
plt.quiver(xx, yy, xdot/vec_len, ydot/vec_len, vec_len)
ns12, ns22 = np.linspace(0, 4, 100), np.linspace(0, 4, 100)
ns11, ns21 = s1_nullcline(ns12, *p), s2_nullcline(ns22, *p)
plt.plot(ns11, ns12, '--', lw=2)
plt.plot(ns21, ns22, '--', lw=2)
plt.axis([0, 4, 0, 4])
plt.xlabel('$S_1$ Concentration')
plt.ylabel('$S_2$ Concentration')
plt.title('Fig. 4.15 B')
plt.show()

Fig 4.22#
"""
generate figure 4.22
"""
# curve
v = np.linspace(2.2, 10, 300)
s = 3 / (v - 2)
# tangent line
v2 = np.linspace(2.7, 5.3)
s2 = 1.5 - (v2 - 4) * 0.75
plt.figure(figsize=(10, 7))
plt.title('Fig 4.22')
plt.plot(v, s, lw=3)
plt.plot(v2, s2, lw=3)
plt.axis([2, 8, 0, 4])
plt.xlabel('$V_{max}$ (mM/min)')
plt.ylabel('s (mM)')
plt.show()
